Problème avec clim réversible LG JET COOL
Actuellement
10 375
questions dans le
forum climatisation
2366
Forum dépannage climatisation : Problème avec clim réversible LG JET COOL
Bonjour.
Ma clim fonctionne et au bout de quelques temps elle s'arrête le volet se ferme elle clignote 6 fois de suite rapidement, je dois la disjoncter pour la remettre en route.
Merci pour vos retours.
Ma clim fonctionne et au bout de quelques temps elle s'arrête le volet se ferme elle clignote 6 fois de suite rapidement, je dois la disjoncter pour la remettre en route.
Merci pour vos retours.
19 juin 2014 à 18:44
Conseil panne clim réponse 1
Problème avec clim réversible LG JET COOL
Bonsoir.
Quelle led clignote 6 X, la led "I" (M/A) ou la led "étoile" juste à la droite de la led "I" ?
Quelle led clignote 6 X, la led "I" (M/A) ou la led "étoile" juste à la droite de la led "I" ?
19 juin 2014 à 20:04
Conseil panne clim réponse 2
Invité

Problème avec clim réversible LG JET COOL
Invité
Merci pour votre réponse, c'est une led qui se trouve la plus à gauche avec une petite horloge.
Merci.
Merci.
19 juin 2014 à 21:59
Conseil panne clim réponse 3
Problème avec clim réversible LG JET COOL
Bonjour.
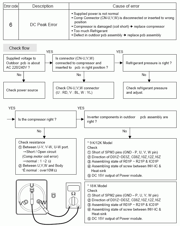
En principe code 06 = sonde de tube sortie échangeur UI, pour en être sur il faut ouvrir le capot du dessus de l'UE regarder sur la carte il y deux leds une rouge et une verte dire combien de fois clignote chacune d'elles.
ouverte/ court-circuit
mauvais contact
défaut circuit interne
Cette sonde est connectée sur la platine de l'UI en CN-TH2
Hors tension, vérifier la valeur de la sonde la sonde, la débrancher de la carte à 20°C ambiant = 6.28 kg ohms, 25°c = 5 kg ohms, si vous avez la possibilité sous tension 2,23 Vdc à 25°C , et 2.51 à 20°C.
En principe code 06 = sonde de tube sortie échangeur UI, pour en être sur il faut ouvrir le capot du dessus de l'UE regarder sur la carte il y deux leds une rouge et une verte dire combien de fois clignote chacune d'elles.
ouverte/ court-circuit
mauvais contact
défaut circuit interne
Cette sonde est connectée sur la platine de l'UI en CN-TH2
Hors tension, vérifier la valeur de la sonde la sonde, la débrancher de la carte à 20°C ambiant = 6.28 kg ohms, 25°c = 5 kg ohms, si vous avez la possibilité sous tension 2,23 Vdc à 25°C , et 2.51 à 20°C.
20 juin 2014 à 14:41
Pour poser une réponse, vous devez être identifié.
Si vous ne possédez pas de compte, créez-en un ICI.
Si vous ne possédez pas de compte, créez-en un ICI.
Questions apparentées dans le forum Climatisation
- 1. Problème de chauffage climatisation réversible LG
- N°100 : Bonjour, J'ai un problème sur une climatisation LG installée depuis plus de trois mois. Celle-ci fonctionnait bien en froid, et fonctionne toujours bien d'ailleurs, mais en chaud elle se met en sécurité. Peut-il y avoir un...
- 2. Erreur CH09 climatiseur réversible LG
- N°8503 : Bonjour à tous. J'ai une climatisation réversible LG : référence unité intérieure S12EQ NSJ (S3NW12JA3AA) ; référence groupe extérieur S12EQ UA3 (S3UW12JA3AA). Suite à plusieurs coupures de courant EDF lors d'une nuit...
- 3. Panne clim réversible gainable UU18 - LG
- N°1920 : Bonjour, Lors d'une coupure de courant et à la remise sous tension l'unité ne redémarre pas. Chez LG on m'a dit de procéder comme suit : A la remise sous tension et pendant les trois premières minutes appuyez 3 fois de...
- 4. Climatisation LG JET COOL clignote 6 fois
- N°789 : Bonjour ! J'ai une climatisation LG INVERTER JET COOL. Celle ci fonctionnait très bien jusqu'à cet hiver. A l'allumage elle indique la température demandée par la télécommande et tout d'un coup se met en position "arrêt" (le...
- 5. Problème température climatisation réversible LG
- N°6619 : Bonjour à tous. J'ai installé une climatisation réversible LG de 3,5kW. Nous l'avons installée dans ma véranda car l'hiver c'est comme si on était dans le jardin. Je précise que cette pièce est très mal...
- 6. Clim réversible LG pas d'air chaud
- N°2993 : Bonjour, Nous avons acheté une maison cet été équipée d'une clim réversible LG lsk2460 hl avec deux splits. Un dans le salon relié à l'unité externe et une à l'étage. Après allumage : En haut : impeccable air...
- 7. Panne clim réversible Neo plasma LG clignote orange/vert/orange
- N°2472 : Bonjour, J'ai mis en route pour la première fois depuis quelques mois ma climatisation réversible Neo plasma LG en mode chauffage. Après quelques heures de fonctionnement correcte, elle s'est arrêtée. Le volet inférieur...
- 8. Problème de bip sur clim réversible LG ARTCOOL
- N°1731 : Bonjour, Nous avons un souci de bip sur un de nos splits LG ARTCOOL MC07AHR. Revenus d'une semaine de vacances, un de nos 5 splits s'est mis à bipper : 1 bip toute les 4 secondes, arrêt pendant 15 secondes et re 1 bip toutes...
- 9. Informations voyants climatisation réversible LG
- N°2982 : Bonjour, Les voyants verts et oranges clignotent sur mes deux splits soit 6 fois le vert puis 4 fois l'orange, et ainsi de suite, 6 pour le vert et 4 fois pour l'orange. Ma climatisation réversible est de marque LG. Le...
- 10. Clim réversible bi Split LG inverter ne démarre plus
- N°8429 : Bonjour. Après une coupure électrique sur la ligne d'alimentation de mon unité extérieure, les deux unités intérieures ne veulent plus s'allumer. Les télécommandes sont OK. L'unité extérieure s'allume (alimentation...
Informations sur le forum Climatisation
Informations sur le moteur du forum Mentions légalesMentions légales :Le contenu, textes, images, illustrations sonores, vidéos, photos, animations, logos et autres documents constituent ensemble une œuvre protégée par les lois en vigueur sur la propriété intellectuelle (article L.122-4).
Aucune exploitation commerciale ou non commerciale même partielle des données qui sont présentées sur ce site ne pourra être effectuée sans l'accord préalable et écrit de la SARL Bricovidéo.
Toute reproduction même partielle du contenu de ce site et de l'utilisation de la marque Bricovidéo sans autorisation sont interdites et donneront suite à des poursuites. >> Lire la suite








